YIL: 10

SAYI: 109

OCAK 2007

 

 

önceki

yazdır

 

 

 H.Aydın OKUYAN

 

 

  

TÜRKİYE’DE İMALAT SANAYİ FİRMALARININ BORÇLANMA DAVRANIŞLARI VE SERMAYE YAPILARI ÜZERİNE BİR UYGULAMA


Özet

İşletmelerde sermaye maliyetlerinin belirlenmesi ve optimizasyonu, 1950’lerde Modigliani ve Miller’in yaptığı çalışmalarla başlamış ve daha sonra pek çok akademisyen ve uygulayıcı konu ile ilgili çalışmalar yapmıştır. Bugüne kadar yapılan çalışmalarda firmaların sermaye yapıları iki farklı teori ile açıklanmaya çalışılmıştır. Bunlar dengeleme ve finansal hiyerarşi teorileridir. Bu çalışmada, Türkiye’de imalat sanayinde işgören firmaların borçlanma davranışları dolayısıyla sermaye yapıları incelenmeye çalışılmış ve firmaların sermaye yapılarının açıklanmasında hangi teorinin geçerli olduğu ortaya konmaya çalışılmıştır. Bu amaçla çoklu bir regresyon modeli oluşturulmuş, model oluşturulurken literatürde yer alan diğer çalışmalardaki, sermaye yapısı üzerinde etkisi olduğu düşünülen değişkenler arasından seçim yapılmıştır. 1990 – 2004 yıllarını kapsayan çalışmada veriler, T.C. Merkez Bankasının yayınladığı sektörel bilançolardan çıkarılmıştır. Çalışmada, Türkiye’de imalat sanayi firmalarında 1990 – 2004 yılları arasında sermaye yapılarının açıklanmasında finansal hiyerarşi teorisinin nispeten geçerli olduğu sonucuna varılmıştır.     

 

Giriş

 

Firmaların sermaye yapılarına ilişkin çalışmalar, iki temel teori üzerine kurulmuştur. Bunlar dengeleme ve finansal hiyerarşi teorileridir.  Bu teoriler firmaların sermaye yapılarına nasıl ve hangi koşullarda karar verdiklerini ortaya koymaya çalışır. Daha açık ifade ile sermayenin finansmanında özsermaye ve borçlanma seçenekleri arasında nasıl karar verildiğini açıklamaya çalışırlar. Esasen bu sorunun cevabı açıktır. İşletmelerin,  özsermaye ile borç arasındaki seçimdeki en önemli ve tek kriterleri maliyettir. Dolayısı ile aslında ortada işletmelerin hangi finansman kaynağını öncelikli olarak seçtiklerine yönelik bir sorun yoktur. Ortadaki esas sorun ve yapılan çalışmaların esas amacı hangi koşulların borçlanmanın ve özsermayenin maliyeti üzerinde etkili olduğunun araştırılmasıdır.      

        

         Bu çalışmanın amacı firmaların aldıkları finanslama kararlarının hangi faktörlerden etkilendiğinin ortaya konulması ve bu kararda etkili olduğu düşünülen etmenlerin etki düzeyi ve derecesinin ortaya konulmasıdır. Bu kararlar üzerinde etkili olan faktörlerin bilinmesi halinde finanslama kararlarında hangi teorinin nispeten daha ağır bastığı ortaya konulabilir.  

 

         1. Teorik Yaklaşımlar

 

         Her firma, piyasa değerini maksimum, sermaye maliyetini minimum yapacak olan  optimal sermaye yapısını bulmaya çalışır. Diğer bir deyişle, en az sermaye ile en yüksek piyasa değerine ulaşmak her firmanın hedefidir. Çeşitli kaynakların reel marjinal maliyeti birbirine eşit olduğunda, firma optimal sermaye yapısına ulaşmış demektir[i].

          

         Firma ihtiyaç duyduğu fonları ise iki kaynaktan temin etmektedir: (i) Yabancı kaynak (borçlanma) ve (ii) Özsermaye.  İki kaynak arasında belirli farklar vardır. Bunlar:

 

          - Süre; borçlanmada belirli bir süre sonra borcun geri ödenmesi söz konusu iken, özsermayenin geri ödenmesi söz konusu değildir.

 

         - Firma geliri üzerinde talep hakkı; borç verenlerin firma gelirleri üzerinde firma sahiplerine kıyasla  öncelik hakları vardır.  Firma kar etse de etmese de borç sahiplerine faiz ödemesi yapılır.  Borç sahipleri faiz ve anapara ödemelerini talep edebilirler, gerektiğinde yasal yollara başvurabilirler. Ama özsermaye sahipleri, firma kar dağıtımına karar vermemişse, temettü talebinde bulunamazlar.

 

         - Firmanın tasfiyesi durumunda, öncelikle borç sahipleri alacaklarını tahsil ederler, daha sonra firma sahipleri kalan bakiyeyi paylaşırlar.

 

         - Yönetime katılma hakkı; firmaya borç verenlerin firma yönetiminde söz hakları bulunmazken, ilke olarak firmaya özsermaye sağlayanlar yönetimde söz sahibidirler.

 

         Modigliani ve Miller’e göre firma değeri, vergiler, asimetrik bilgi, firma iflası ve benzeri piyasa aksaklıkları göz önünde bulundurulmadığında, sermaye yapısından bağımsızdır. Modigliani ve Miller borsadaki yatırımcıların aynı beklentilere sahip olduklarını varsayarak firma değerinin tamamen gelecekteki kazançlar tarafından belirlendiğini ve ihraç edilen hisselerin değerinin firmanın mali yapısından bağımsız olduğunu ileri sürmüşlerdir[ii]. Bu teorinin özü, yatırımcıların bilançonun aktifindeki yatırımların karlılığı ile ilgilenmesidir. Yatırımcılar, aktiflerin borçlanma yoluyla veya özsermaye ile finanse edilmesi seçimlerine karşı kayıtsızdırlar. Ancak Modigliani ve Miller beş yıl sonra yayımladıkları ve ilk makalelerini düzeltmeye yönelik ikinci makalelerinde borç faizi ödemelerinin vergi matrahını azalttığını ve vergi sonrası sermaye maliyetini düşürdüğü için borçlanmanın özsermaye kullanmaya göre avantajlı olduğunu ileri sürmüşlerdir[iii].

 

         Sermaye yapısına ilişkin bu ilk önemli görüşten sonra farklı görüşler de doğmuştur. Çalışmanın bu bölümünde sermaye yapısına ilişkin iki temel teori olan dengeleme ve finansal hiyerarşi teorilerine kısaca yer verilecektir.   

 

1.1. Dengeleme Teorisi

 

Bu teoriye göre, firmanın borç – özsermaye arasındaki seçimi, faizin vergi tasarrufu ile finansal sıkıntı maliyeti arasındaki bir denge noktasında yer almalıdır. Bu amaçla, firmalar kendi koşulları doğrultusunda hedef bir borçlanma oranı belirlerler ve bu orana doğru borçlanmaya çalışırlar.

        

Sermaye yapısını dengeleme teorisi, hedef borç oranlarının firmadan firmaya değişebileceğini kabul eder. Güvenli, maddi duran varlıkları olan ve vergilendirilebilir karı tasarruf sağlamaya yeterli olan firmaların hedef oranları yüksek olmalıdır. Riskli, maddi olmayan varlıklara sahip karsız şirketler ise özkaynak finansmanına dayanmalıdırlar. Dengeleme teorisi, kurumlar vergisi ödeyen şirketlerin olabildiğince çok borçlanmasını öneren Modigliani – Miller teoreminin aksine ılımlı ve önceden belirlenmiş bir borç oranı önermektedir[iv].      

 

 

 

 

 

         1.2. Finansal Hiyerarşi Teorisi

 

         Finansal hiyerarşi teorisi Myers tarafından şu şekilde açıklanmıştır.

 

-    Firmalar öncelikle iç fonlardan finansmanı tercih ederler.

 

-    Firmalar hedef kar payı oranlarını yatırım fırsatlarına göre belirlerler. Eğer yatırım yapılacak ise kar payı ödeme oranı düşer.

 

-    Kar payı ödeme politikaları ve karlılık ile yatırım fırsatlarındaki beklenmedik dalgalanmalar karşısında iç fonların gerekenden az veya çok olabilirler. Eğer iç fonlar yatırım harcamaları gereksiniminden az ise döner varlıklardaki menkul kıymetler de yatırım harcamalarında kullanılabilir. 

 

-    Dış fon kullanmanın gerekli olduğu durumlarda firmalar öncelikle borçlanmayı tercih ederler. Daha sonra borçlanma ifade eden menkul kıymet çıkarır, en son olarak da hisse senedi ihraç ederler. 

 

Finansal hiyerarşi teorisi piyasada firmalar ile yatırımcılar arasındaki bilgi akışının yoğunluğu üzerine odaklanmıştır. Firmalardan piyasaya bilgi akışının yoğun olmamasından dolayı, firma yöneticileri ile yatırımcılar firma hakkında aynı bilgiye sahip değildirler. Bu durum bilgi asimetrisi olarak nitelendirilir.

 

Bilgi asimetrisi, ürün satıcısının alıcısına göre daha çok bilgi sahibi olduğu “limonlar sorunu” adıyla da anılmaktadır. Alıcı ile satıcı arasındaki ürün kalitesi hakkındaki bilgi farklılığı, piyasanın işleyişini aksatıp bazen de limon ticaretini tamamen engelleyebilir. Potansiyel alıcılar kendilerine sunulan ürünün kalitesinden emin olmadıklarından piyasa işlemeyebilir. Limon alma riski ile başbaşa kalan alıcı fiyatta indirim ister ve bu istek de satıcının isteğini kırabilir. İşte işletmelerin fon kaynağı ihtiyacında öncelikli olarak iç fon, sonra borç ve en son olarak da hisse çıkaracağına yönelik finansal hiyerarşi teorisi bu bilgi asimetrisine dayanır[v].   

 

Firma hakkında yöneticiler kadar bilgi sahibi olmayan yatırımcılar, yöneticilerin ancak hisseler aşırı değerlendiğinde hisse çıkaracaklarını veya hisse çıkarım zamanını bu şekilde ayarlamaya çalışacaklarını varsayarlar. Bu yüzden yeni hisseye düşük fiyat vereceklerdir. Bundan dolayı firmalar, iyi yatırım projelerini değerlendirme amacıyla nakit şeklinde hazır rezerv oluşturmaya  çalışır, yeni yatırım fırsatları dış fonlara ihtiyaç duyulmadan iç fonlarla gerçekleştirilir[vi]. Yatırımcılar, yöneticilerin hisse yüksek fiyatlı olduğu sürece hisse çıkaracaklarını ve düşük fiyatlı olduğu sürece borçlanacaklarını varsaydıklarından firmanın, borç kapasitesini tüketmeden hisse almayacaklardır. Böylece yatırımcılar firmayı finansal hiyerarşiyi takip etmeye zorlayacaklardır. Dış fon seçiminde borcun hisse senedi ihraç etmeye tercih edilmesinin bir diğer nedeni, bilgi asimetrisinin olduğu bir ortamda borçlanmanın hisse senedi ihracına oranla daha düşük maliyetli olmasıdır. 

 

         Fon ihtiyacının karşılanmasında bilgi asimetrisi özellikle küçük işletmeler için geçerlidir. Hatta bilgi asimetrisinden öte yatırımcıların işletme hakkında hiçbir bilgisi olmaz. Bu durumda küçük işletmeler, kendileri hakkında bilgi monopolü kuran bankalardan ağır şartlarla borçlanmak durumunda kalırlar. Bundan dolayı küçük işletmeler için en güvenli yol mümkün olduğunca kendi iç fonlarından yararlanmak olacaktır[vii].   

        

2. Literatür

 

Bu bölümde firmaların sermaye yapılarını etkileyen etmenlerin araştırıldığı temel çalışmalara yer verilecektir.

 

Demirgüç – Kunt ve Maksimoviç çalışmalarında sermaye piyasalarının gelişim düzeyinin, firmaların finanslama seçenekleri üzerindeki etkisini araştırmışlardır. Bu amaçla 1981 – 1990 yılları arasında 30 farklı ülkede faaliyet gösteren firmaların sermaye yapılarını ve ülkelere özgü gelişmişlik rakamlarını incelemişlerdir. Çalışmada borsanın likiditesi, kapitalizasyonu, enflasyon oranı, büyüme, firmaların karlılığı gibi rakamların finansal kaldıraç üzerindeki etkisi çoklu bir regresyon modeli yardımıyla incelenmiştir. Tüm firmalar ele alınarak yaptıkları analizde borsanın gelişmişliği ile kısa vadeli ve uzun vadeli kaldıraç arasında negatif bir ilişki olduğu ortaya konulmuştur. Ancak bu ilişkinin sadece büyük ölçekli firmalar için geçerli olduğu söylenmiştir. Ayrıca bankacılık sektörünün gelişmişliği ve kaldıraç arasında pozitif anlamlı bir ilişki de vardır[viii].

 

Hatfield, Cheng ve Davidson çalışmalarında, endüstrinin ve firmanın borçlanma oranlarındaki değişimin, firmanın piyasa değeri üzerindeki etkisini araştırmışlardır. 4 yılı ve 183 firmayı kapsayan çalışmalarında, firmanın piyasa değeri ile endüstri ve firmanın borçlanma oranlarının bir ilgisi olmadığını ortaya koymuşlardır[ix].  

 

Agarwal ve Mothadi, Demirgüç – Kunt ve Maksimoviç’in çalışmalarına eklemeler yaptıkları, 21 ülke ve 17 yılı kapsayan çalışmalarında finansal kaldıraç oranı üzerinde etkili olan değişkenleri araştırmışlardır. Sonuçta sermaye piyasalarının gelişmişliği ile firmaların borçlanma düzeyleri arasında negatif, anlamlı bir ilişki olduğu ortaya konulmuştur. Bu sonuç hem kısa hem de uzun vadeli borçlanma için geçerli olmasına rağmen vadelere göre  etki düzeyinde farklılıklar görülmektedir. Sermaye piyasalarının gelişmişliğinin kısa vadeli borçlanma üzerindeki etkisinin uzun vadeli borçlanmaya göre daha fazla olduğu söylenmiştir[x].  

 

Lööf yaptığı çalışmada, farklı ekonomik sistem ve büyüklüklerde yer alan firmaların sermaye yapılarını etkileyen etmenler arasındaki farklılıkları incelemiştir. Farklı ekonomik sistemlerde olsalar da, firmaların sermaye yapılarının belirlenmesinde etkili olan faktörlerin aynı olabileceğini ileri sürmüştür. Bu amaçla İsveç, ABD ve İngiltere firmalarını ele almıştır. Sonuçta firmalar fatrklı ekonomilerde bile olsa, sermaye yapılarının belirlenmesinde rol oynayan temel ortak değişkenlerin olduğu ortaya konulmuştur. Bu değişkenlerin finansal sektörün büyüklüğü,  sermaye arzı ve vergilendirme koşulları olduğu ortaya çıkmıştır[xi].

 

Ismail ve Eldomiaty, Mısır Menkul Kıymetler Borsasında işlem gören 100 firma üzerinde yaptıkları çalışmalarında, geçmiş çalışmalarda kullanılan bütün oranları bir araya getirerek firmaların finansal yapılarına etki eden en uygun değişkenler bulmaya çalışmışlardır. Bu amaçla Bayesyen “Stokastik araştırma Değişkeni Seçimi” yöntemini kullanmışlar, buldukları değişkenlerle bir model kurmuşlardır. Sonuçta finansal hiyerarşi teorisinin Mısır’daki firmalarda nispeten geçerli olduğu ve finansal yapının belirlenmesinde firmanın sahip olduğu vergi istisnaları, piyasa riski, iflas riski ve firmanın büyüme oranının etkili olduğu ortaya konulmuştur[xii].

 

Medeiros ve Daher Brezilya Menkul Kıymetler Borsasında yaptıkları 132 şirketi kapsayan çalışmalarında finansal hiyerarşi teorisinin geçerli olup olmadığını test etmişlerdir. Elde ettikleri sonuçları Myers (1999) ve Goyal (2003)’ın elde ettikleri sonuçlar ile karşılaştırmışlardır. Sonuçta Brezilya firmalarında finansal hiyerarşi teorisinin geçerli olduğunu ortaya koymuşlardır[xiii].

 

Yapılan ampirik çalışmalarda farklı sonuçlar elde edilmiştir. Wiwattanakantang[xiv], Booth[xv], Pandey[xvi], Al – Sakran[xvii], Huang ve Song[xviii] gelişmekte olan ülkelerde yaptıkları çalışmalarda kaldıraç oranı ile firmanın aktif büyüklüğü arasında pozitif bir ilişki bulmuşlardır. Rajan ve Zingales[xix] aynı ilişkinin G – 7 ülkelerinde  de bulunduğunu söylemişlerdir. Titman ve Wessels[xx] ise firmaların aktif büyüklüğü ile toplam ve uzun vadeli borçların kaynaklara oranı arasında pozitif bir ilişki bulunduğunu söylemişlerdir. Diğer yandan, Bevan ve Danbolt[xxi] ise firmanın büyüklüğü ile kısa vadeli borçlanma oranı arasında negatif, uzun vadeli borçlanma oranı ile arasında ise pozitif bir ilişki olduğunu ileri sürmüşlerdir.    

 

Gerek yukarıda açıklanan çalışmalara gerekse büyük şirketlerin uygulamalarına bakıldığında firmaların özsermaye – borç seçimlerinde nispeten finansal hiyerarşi teorisine uygun davrandıkları söylenebilir. 

 

 

3. Verilerin Tanıtılması ve Yöntem

 

Çalışmada 1990 ve 2004 yılları arasında Merkez Bankası tarafından yayınlanan sektörel bilançolardan faydalanılmıştır. İmalat sanayindeki şirketleri kapsayan bilançolar Türkiye’de imalat sanayinde çalışan yaklaşık 3200 şirketin toplulaştırılmış bilançosu olarak yılda tek sefer yayınlanmaktadır. İlgili bilançoların yıllar itibariyle kaç şirketi kapsadığı Merkez Bankasının internet sitesinde detaylı olarak yer almaktadır.   

 

Çalışmada, daha önceki çalışmalarda firmanın borçlanma oranı ile ilişkili olduğu düşünülen oranlar ele alınmıştır. Ele alınan oranların hangi çalışmalarda kullanıldığı tablo 1’de gösterilmiştir. Bu oranlardan  LnİMKB sermaye piyasasının gelişmişliğini, GSYİH borçlanma olanaklarının genişliğini, EB genel konjonktürü, diğer değişkenler ise firmaya ait verileri göstermektedir. Çalışmada kullanılan verilere ilişkin açıklayıcı istatistikler Tablo 2’de gösterilmektedir.   

 

Tablo 1. Geçmiş Çalışmalarda Kullanılan Oranlar

DVTVO

Duran Varlıkların Toplam Varlıklara Oranı

Jensen ve Meckling 1976, Myers 1977

LnAKTF

Aktif Büyüklük

Gupta 1969, Homaifar 1994

FKS

Faaliyet Karı / Satışlar

∆SATS

Satışlarda Büyüme

Myers 1977

FVÖK

Faiz ve Vergi Öncesi Kar + Amortisman / Toplam Varlıklar

 

 

Toy 1974, Martin ve Scott 1974

 

NKTVO

Net Kar / Aktif Toplamı

NKM

Net Kar Marjı

FKAT

Faaliyet Karı / Aktif Toplamı

NÇSDV

Net Çalışma Sermayesi / Dönen Varlıklar

Prowse 1990, Özkan 2001

Ln KV

Kurumlar Vergisi

Titman 1984, Titman ve Wessels 1988

Ln İMKB

İMKB Piyasa Kapitalizasyonu

 

EB

Ekonomik Büyüme

 

GSYİH

Kredi Hacmi / GSYİH

 

 

         Tablo 2. Verilere İlişkin Açıklayıcı İstatistikler

 

 

 

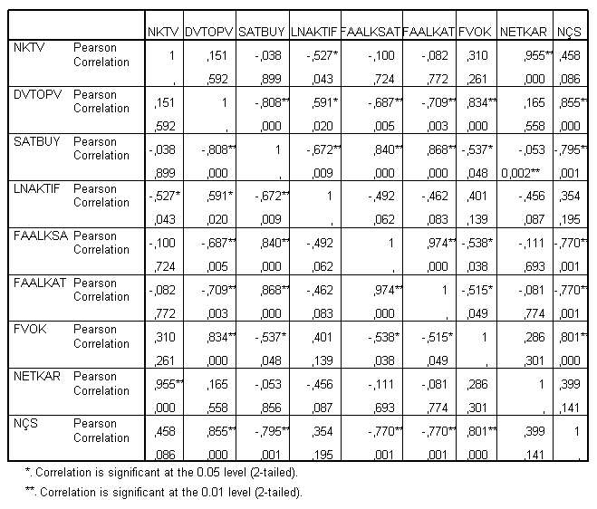
Modele dahil edilecek olan değişkenleri belirleyebilmek ve bu değişkenler arasında korelasyonun var olup olmadığını belirleyebilmek amacıyla Pearson analizi yapılmıştır. Pearson analizinin sonuçları Tablo 3’de gösterilmiştir.   

 

 

 

Tablo 3. Firmaya Ait Değişkenlere Uygulanan Pearson Analizinin Sonuçları

 

Gerek Pearson analizinin sonuçlarına bakarak, gerekse uygulanan stepwise sonuçlarından yola çıkılarak firmaya ait değişkenlerden borçlanma oranını açıklamada en etkili olanlarının DVTOPV ve FVOK değişkenleri oldukları sonucuna varılmıştır. Bu sonuçlardan yola çıkılarak aşağıda açıklanan model oluşturulmuştur. 

 

 

Modelde bağımlı değişkeni olan Z borçlanma oranını (Borçlar / Özsermaye) göstermektedir. DVTOPV duran varlıkların toplam varlıklara oranını, FVOK vergi öncesi kar ve amortismanların toplamının toplam varlıklara oranını, LnKV ödenen kurumlar vergisini, Ln İMKB sermaye piyasası kapitalizasyonunu, EB ekonomik büyüme oranını ve GSYİH kredi hacminin gayrısafi yurtiçi hasılaya oranını göstermektedir. Yapılacak olan analiz sonucunda bu değişkenlerin katsayılarının alacağı işaretin yönü imalat sanayi firmalarının borçlanma davranışları üzerine fikir verecektir.

 

Modelde ilk önce toplam borçların toplam varlıklara oranı bağımlı değişken olarak kabul edilmiş, daha sonra model hem kısa vadeli hem de uzun vadeli borçlar için ayrı ayrı uygulanmıştır.    

 

4. Sonuçların Değerlendirilmesi

 

Tablo 4’de, yıllar itibariyle yayınlanan sektörel bilançolardan alınan verilerden elde edilen ekonometrik sonuçlar görülmektedir. Regresyonlar SPSS programı kullanılarak hesaplanmıştır.   

 

Tablo 4. Toplamda ve Farklı Vadelerde Borç Oranlarının Analiz Sonuçları

Değişkenler

Toplam Borç Oranı

Kısa Vadeli Borç Oranı

Uzun Vadeli Borç Oranı

DVTOPV

(-0,487)

   0,02**

(-0,635)

   0,137

(0,477)

0.418

FVOK

(-0,294)

   0,04**

(-0,117)

   0,769

(-0,810)

0,02**

LnİMKB

(-0,333)

   0,704

(0,488)

  0,551

(0.287)

0,79

LnKV

(0,366)

 0,647

(0,449)

 0,547

(-0,010)

0,992

EB

(0,426)

  0,01*

(0,533)

  0,03**

(-0,156)

 0,593

GSYİH

(0,019)

  0,05**

 (0,03)

  0,77

(0,073)

0,766

Düzeltilmiş                

Modelin Anlamlılığı 

66,7

0,03**

 60,1

0,02**

69,6

0.04**

*     %1 seviyesinde anlamlı

**   %5 seviyesinde anlamlı

 

Tablo 4’de firmaların borçlanma oranları üzerinde etkisi olduğu düşünülen değişkenler yer almaktadır. DVTOPV duran varlıkların toplam varlıklara oranını, FVOK faiz ve vergi öncesi kar ve amortisman toplamının toplam varlıklara oranını, LnİMKB İMKB’de işlem gören şirketlerin piyasa değerleri toplamlarının doğal logaritmasını, LnKV imalat sanayi firmaları tarafından ödenen toplam kurumlar vergisinin doğal logaritmasını, EB ekonomik büyüme oranını, GSYİH ise kredi hacminin gayrısafi yurtiçi hasılaya oranını göstermektedir.

 

Elde edilen sonuçlar, duran varlıkların toplam varlıklara oranı ile toplam borç oranı arasında anlamlı negatif bir ilişki olduğunu göstermektedir. Bu  sonuca göre firmaların duran  varlık yatırımları artarken toplam borç oranları azalmaktadır. Yani firmalar duran varlıklarını borç ile finanse etmekten nispeten kaçınmaktadırlar. Diğer bir deyişle borç ile büyümeyi arzu etmemektedirler.

 

Toplam borç oranı ile anlamlı bir ilişkiye sahip olan diğer bir değişken ise firmanın sahip olduğu iç fonların (faiz ve vergi öncesi kar + amortismanlar) toplam varlıklara oranıdır. İç fonların toplam varlıklara oranı ile toplam borçlanma oranı arasında da negatif ve anlamlı bir ilişki bulunmaktadır. Bu sonuca göre firmaların iç fonlarında artış meydana geldiğinde toplam borçlanma oranları azalmaktadır. Yani iç fonlara sahip olan firmalar borç almayı yavaşlatmakta veya daha fazla borç almamaktadırlar. Aynı değişken uzun vadeli borç oranı için de anlamlıdır. Hatta uzun vadeli borç oranı ile arasında 0,81 gibi güçlü bir ilişkiye rastlanmıştır. Buradan yola çıkılarak denilebilir ki, firmalar, iç fonlara sahip olmaları halinde uzun vadeli borç oranları düşmektedir. Dolayısıyla iç fona sahip firmalar portföylerinde uzun vadeli borç bulundurmayı arzu etmemektedirler. Bu sonuç elde edilen ilk sonuç ile uyumludur.

 

Tablo 4’deki sonuçlardan görülmektedir ki, ekonomik büyüme ile toplam ve kısa vadeli borç oranları arasında pozitif bir ilişki bulunmaktadır. Aynı ilişki kredi hacminin  gayrısafi yurtiçi hasılaya oranının arttığı dönemler de görülmektedir. Bu sonuçlara bakarak denilebilir ki, firmaların borçlanma davranışlarında etkili olan iki makro değişken, ekonomik büyüme ve kredi koşullarıdır.   

 

İMKB’nin gelişmişliğinin ve ödenen kurumlar vergisi miktarlarının firmaların borçlanma davranışları üzerinde anlamlı bir etkisi bulunamamıştır. Bunun nedeni veri setinde bulunan firmalardan ancak çok az bir kısmının sermaye piyasalarının gelişmişliği ile ilgilenmesi olabilir. Geçmiş çalışmalar göstermektedir ki sermaye piyasalarının gelişmişliği ile sadece büyük firmaların sermaye yapıları arasında anlamlı bir ilişki bulunmuştur. Bu çalışmanın veri setinde ise firmaları büyüklüğüne göre ayırmak mümkün olmamıştır.

 

Sonuç

 

Bu çalışmada 1990 – 2004 yılları arasında Türkiye’de imalat sanayinde faaliyet gösteren firmaların borç davranışlarından yola çıkılarak, Türkiye’deki firmaların sermaye yapılarının açıklanmasında hangi teorinin geçerli olduğu ortaya konulmaya çalışılmıştır. Elde edilen sonuçlar firmalar için bir hedef borçlanma miktarının olmadığını ve mümkün olduğunca özsermaye ile finanse edilmeye çalışıldığını göstermiştir. Özellikle kapasite artırımları gibi uzun vadeli yatırımları firmalar özsermaye ile finanse etmeye çalışmaktadırlar. Firmaların uzun vadeli borçtan kaçınma davranışları, araştırmanın süresini oluşturan 1990 – 2004 yılları arasında ekonominin istikrarsız olması ile de açıklanabilir. Kısa vadeye bakıldığında ise özellikle ekonomik büyüme dönemlerinde firmaların borçlandıklarını görülmektedir. Bu durumun artan faaliyet hacmi ile işletme sermayesi ihtiyacının artması sonucu gerçekleştiği düşünülmektedir.

 

Sonuç olarak Türkiye’de imalat sanayinde iş gören firmalar yatırımların finansmanında öncelikli olarak özsermayeyi tercih ederler denilebilir. Dolayısı ile firmalar hedef borç miktarı belirlememekte, öncelikli olarak iç fonlarını tüketmektedirler. Sonuçta Türkiye’de imalat sanayinde iş gören firmaların sermaye yapılarının açıklanmasında finansal hiyerarşi teorisinin nispeten geçerli olduğu görülmüştür.

 



[i] Öztin Akgüç, Finansal Yönetim, İstanbul, 6. Baskı, Avcıol, 1994, s.483

[ii] Franco Modigliani, Metron H. Miller. “The Cost of Capital, Corporation Financeand the Theory of Investment”, American Economic Review, 1958, 48-3, 261 – 297 

[iii] Franco Modigliani, Metron H. Miller. “Corporation Income Taxes and the Cost of Capital: a Correction “, American Economic Review, 1963, 53-3, 433 – 443 

[iv] Richard Brealey, Stewart Myers, Alan Marcus, İşletme Finansının Temelleri, Mc Graw Hill – Literatür,  Ağustos 1999, İstanbul, s. 425

[v] Veysel Kula,“İşletmelerin Sermaye Yapısını Açıklamada Finansal Hiyerarşi Teorisi”Active Finans,18(2001)

[vi] Stewart Myers, Nicholas Majluf, “Corporate Financing and Investment Decisions When Firms Have Information That Investors Do Not Have”, Journal of Financial Economics, 13, (1984), 187 – 221   

[vii] Steward Myers, “Capital Structure Puzzle”, Journal of Finance, 39 - 3, (July 1984), p. 582

[viii] Aslı Demirgüç – Kunt, Vojislav Maksimovic. “Stock Market Development and Firm Financing Choices”, Policy Research Working Paper, No 1461, May 1995

[ix] Gay B. Hatfield, Louis T. W. Cheng, Wallace T. Davidson III. “Determination of  Optimal Capital Structure”, The Journal of Financial and Strategic Decisions, Vol  7, No 3, Fall 1994

[x] Sumit Agarwal, Hamid Mothadi, “Financial Markets and Financing Choice of Firms :Evidence From Developing Countries”, Global Finance Journal, Vol 15, No 1, 2004, ss. 57 - 70

[xi] Hans Lööf, “Dynamic Optimal Capital Structure and Technological Change”,  Center for European Economic Research, Discussion Paper No: 03 – 06

[xii] Mohamed A. Ismail, Tarek I. Eldomiaty. “Bayesian Identification of the Predictors for Capital Structure in Egypt”, Advances and Applications in Statistics, Vol. 4, No. 2, 2004,

[xiii] Otavio R. De Mederios, Cecilio Elias Daher. “Testing Pecking Order Theory of Capital Structure in Brazilian Firms”, SSRN Working Paper Series, December 2004.http:papers.ssrn.com/sol3/papers.cfm?abstract_id=868466

[xiv] Yupana Wiwattanakantang, “An Empirical Study on the Determinants of the Capital Structure of Thai Firms” Pasific – Basin Finance Journal, 7, 371 – 403

[xv] Aizaivan Booth, Aslı Demirgüç – Kunt, Vojislav Maksimoviç, “Capital Structures in Developing Countries” The Journal of Finance 66, 2001, 87 – 130

[xvi] Mohan Pandey, “Capital Structure and the Firm Characteristics: Evidence From an Emerging Market”, Indian Institute of Management Working Paper, 2001,

[xvii] Sameer Al – Sarkan, “Leverage Determinants in the Absence of Coorperate Tax System: The Case of non – financial Publicly Traded Corporatian in Saudi Arabia”, Managerial Finance, 27, 58 – 86  

[xviii] Samuel Gui Hai Huang, Frank Song, “The Determinants of Capital Structure: Evidence From China”, The University of Hong Kong Working Paper, 2002 

[xix] Raghuram G. Rajan,  Luigi Zingales, “What Do Know About Capital Structure? Some Evidence From International Data” The Journal of Finance, 50, 1421 – 1460

[xx] Sheridan Titman, Roberto Wessels, “The Determinants of Capital Structure Choice”, The Journal of Finance, 1988, 43, 1 – 19

[xxi] Alan Bevam, Jo Danbolt, “Capital Structures and its Determinants in the UK – a Decompositional Analysis”, Applied Financial Economics,  2002, 12, 159 – 170